1881: 唯一的二叉搜索树-卡特兰数(Catalan)

Memory Limit:128 MB Time Limit:1.000 S
Judge Style:Text Compare Creator:
Submit:2 Solved:1

Description

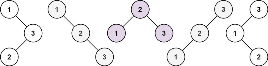
给你一个整数 n ,求恰由 n 个节点组成且节点值从 1 到 n 互不相同的 二叉搜索树 有多少种?返回满足题意的二叉搜索树的种数。

示例1:

输入:n = 3
输出:5


Input

输入一个节点数n

Output

输出组合数

Sample Input Copy

3

Sample Output Copy

5